JPBN observation along PX46
Observing period : 2018/2/3 - 2018/2/9
Number of stations : 12
station map
Vertical profiling data
Vertical profile of temperature along the observing line of KEIFU MARU. moved the entire profile by 5 degree Celsius.
Vertical profile of temperature
water fall
JMA Assimilation Model
Comparison result
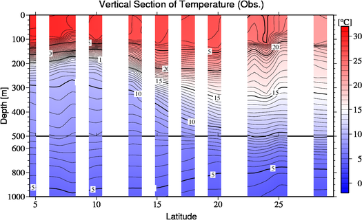
Vertical sections of the observation.
observation
Vertical sections of the result of assimilation by MOVE-NP.
result of assimilation
Vertical sections of the difference(observation - result of assimilation by MOVE-NP) along the observing line of KEIFU MARU.
difference(Obs.-Assim.)