VNVG observation along PX11
Observing period : 2023/2/7 - 2023/2/13
Number of stations : 8
station map
Vertical profiling data
Vertical profile of temperature along the observing line of NORTHWEST SANDPIPER. moved the entire profile by 5 degree Celsius.
Vertical profile of temperature
water fall
JMA Assimilation Model
Comparison result
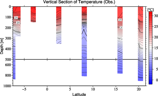
Vertical sections of the observation.
observation
Vertical sections of the result of assimilation.
result of assimilation
Vertical sections of the difference(observation - result of assimilation) along the observing line of NORTHWEST SANDPIPER.
difference(Obs.-Assim.)