VNVG observation along PX11
Observing period : 2020/10/5 - 2020/10/8
Number of stations : 18
station map
Vertical profiling data
Vertical profile of temperature along the observing line of NORTHWEST SANDPIPER. moved the entire profile by 5 degree Celsius.
Vertical profile of temperature
water fall
JMA Assimilation Model
Comparison result
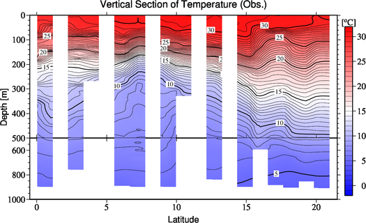
Vertical sections of the observation.
observation
Vertical sections of the result of assimilation by MOVE-NP.
result of assimilation
Vertical sections of the difference(observation - result of assimilation by MOVE-NP) along the observing line of NORTHWEST SANDPIPER.
difference(Obs.-Assim.)